반응형
문제
알고리즘 문제를 풀 때 javascript에서 주의해야 할 사항들
- 입력받을 때
prompt나setPrompt를 사용하면 틀렸습니다가 뜬다. readline을 통해 입력받으면 줄이 나뉘어져 있어도 무한정으로 계속 입력을 받는다.
- 예로, 입력이 8줄에서 끝난다면, 8줄 입력받은 후의 지점에서
close를 꼭 시켜줘야 한다. - 그래서
while문을 쓰지 않아도 된다.
문제 설명
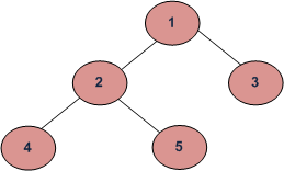
이진트리의
루트, 왼쪽, 오른쪽값이 계속 들어오는 값을 트리로 만들고, 트리를전위 순회, 중위 순회, 후위 순회를 한 결과를 한 줄에 하나씩 출력하는 문제

- 전위 순회(preorder) : (root -> left -> right)
1->2->4->5->3 - 중위 순회(inorder) : (left -> root -> right)
4->2->5->1->3 - 후위 순회(postorder) : (left -> right -> root)
4->5->2->3->1
위와 같은 규칙을 가지고 각각의 순회를 하는 기능을 만들면 된다.
풀이
value(root),leftNode,rightNode를 생성자로 가지고 있는Node클래스를 만든다.TreeTraversal클래스에는insert, search, preorder, inorder, postorder메소드가 있다.- 입력한 값들은
TreeTraversal의 insert기능을 통해 Node에 추가된다.
- 여기서 하나의 노드는 계속해서 왼쪽과 오른쪽에 자식을 가지고 있어야 하므로
Node클래스에서leftNode와 rightNode의 초기값은null로 설정하였다. - 입력할 때
data(root), left, right값이 한 번에 한 줄에 들어와서 한 번에 넣는 것을 구현하려 했지만 null인 프로퍼티를 조회하지 말라는 에러가 났다. - 그래서 root, left, right 순으로 차례대로 저장될 수 있도록 했다.
- 여기서 insert 기능은 처음에 root가
null일 때만 들어가게 했고, root가 null이 아닐 때는search를 호출하도록 했다.
search메소드를 통해 재귀적으로 부모 노드 값을 찾아 트리에 값을 추가한다.
- 여기서 많이 헤맸다.
- 재귀적으로 한다는 말은 root Node인 A부터 왼쪽과 오른쪽 노드를 계속해서 살펴 보겠다는 말이다.
(이 부분에서 트리가 더 커졌을 때 시간 복잡도가 커질 것 같다.)
(그래서 노드의 개수가 26개를 넘지 못한다는 조건이 문제에 주어진 것 같다.) - 아무튼 그래서 처음부터 훑으며 부모 노드를 찾는다. 자기 노드의 직전 노드만 찾을 수 없는 이유는 자식 노드가 2개이기 때문에 바로 직전의 노드는 현재 노드의 부모 노드가 아닐 가능성이 있다.
A B C
B D .
C E F- 위는 예제 테스트 케이스 중 일부인데, 2번 노드는 바로 직전 노드에 B가 있어 부모 노드를 찾을 수 있지만, 3번 노드는 1번 노드에 부모가 있다.
- 각각의 순회 순서로 재귀적으로 순회를 돈다.
- 값들은
result생성자에 쌓인다. - 순회를 다 돌면
console.log로 값을 출력한다. result를 다시 빈 문자열로 만들어 준다. (이렇게 안 하면 모든 순회 값이 쌓이게 된다.)- class 안의 값을 바꾸는 게 좋아 보이지는 않아서 리팩토링을 해 봐야겠다.
참고
성공 코드
const readline = require("readline");
const run = () => {
let count = [];
const treeTraversal = new TreeTraversal();
const r = readline.createInterface({
input: process.stdin,
output: process.stdout
});
r.on("line", line => {
const splitLine = line.split(" ");
count.push(splitLine);
const [data, left, right] = splitLine;
if (splitLine.length === 3) {
treeTraversal.insert(data, left, right);
}
if (count.length === Number(count[0]) + 1) {
treeTraversal.preorder();
console.log(treeTraversal.result);
treeTraversal.result = "";
treeTraversal.inorder();
console.log(treeTraversal.result);
treeTraversal.result = "";
treeTraversal.postorder();
console.log(treeTraversal.result);
treeTraversal.result = "";
r.close();
}
});
r.on("close", () => {
process.exit();
});
};
class Node {
constructor(value) {
this.value = value;
this.leftNode = null;
this.rightNode = null;
}
}
class TreeTraversal {
constructor() {
this.root = null;
this.result = "";
}
insert(data, left, right) {
if (this.root === null) {
if (data !== ".") this.root = new Node(data);
if (left !== ".") this.root.leftNode = new Node(left);
if (right !== ".") this.root.rightNode = new Node(right);
} else {
this.search(this.root, data, left, right);
}
}
search(root, data, left, right) {
if (root === null) {
return;
} else if (root.value === data) {
if (left !== ".") root.leftNode = new Node(left);
if (right !== ".") root.rightNode = new Node(right);
} else {
this.search(root.leftNode, data, left, right);
this.search(root.rightNode, data, left, right);
}
}
preorder(root = this.root) {
this.result += root.value;
if (root.leftNode !== null) this.preorder(root.leftNode);
if (root.rightNode !== null) this.preorder(root.rightNode);
}
inorder(root = this.root) {
if (root.leftNode !== null) this.inorder(root.leftNode);
this.result += root.value;
if (root.rightNode !== null) this.inorder(root.rightNode);
}
postorder(root = this.root) {
if (root.leftNode !== null) this.postorder(root.leftNode);
if (root.rightNode !== null) this.postorder(root.rightNode);
this.result += root.value;
}
}
run();반응형