개발후라이
개발후라이
개발후라이
  • 분류 전체보기 (287)
    • Web Front End (76)
      • Javascript & Typescript (26)
      • React (12)
      • Vue (4)
      • Nodejs (1)
      • HTML (6)
      • CSS (8)
      • HTTP (6)
      • 책 - Review (8)
    • TIL (0)
    • Problem Solved (135)
      • 알고리즘 (4)
      • BOJ (67)
      • Programmers (8)
      • HackerRank (33)
      • LeetCode (23)
    • 회고 (4)
      • 오늘의 회고 (16)
      • 주간 회고 (15)
      • 월간 회고 (7)
      • WakaTime (9)
    • Git (3)
    • 기타 (15)
      • 취업 (5)
      • 자격증 (1)

블로그 메뉴

  • GitHub
  • LinkedIn
  • 홈

인기 글

태그

  • 회고
  • 자바스크립트
  • 개발자
  • 노마드북클럽
  • JavaScript
  • 오늘의회고
  • 프론트엔드
  • TypeScript
  • 노개북
  • 릿코드

최근 댓글

최근 글

전체 방문자
오늘
어제

티스토리

hELLO · Designed By 정상우.
개발후라이

개발후라이

[BOJ][Javascript/nodejs] 1991번 - 트리 순회
Problem Solved/BOJ

[BOJ][Javascript/nodejs] 1991번 - 트리 순회

2020. 1. 29. 22:20
반응형

문제

백준 1991번 문제: 트리 순회

알고리즘 문제를 풀 때 javascript에서 주의해야 할 사항들

  1. 입력받을 때 prompt나 setPrompt 를 사용하면 틀렸습니다가 뜬다.
  2. readline을 통해 입력받으면 줄이 나뉘어져 있어도 무한정으로 계속 입력을 받는다.
  • 예로, 입력이 8줄에서 끝난다면, 8줄 입력받은 후의 지점에서 close를 꼭 시켜줘야 한다.
  • 그래서 while문을 쓰지 않아도 된다.

문제 설명

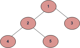
이진트리의 루트, 왼쪽, 오른쪽 값이 계속 들어오는 값을 트리로 만들고, 트리를 전위 순회, 중위 순회, 후위 순회를 한 결과를 한 줄에 하나씩 출력하는 문제

  • 전위 순회(preorder) : (root -> left -> right) 1->2->4->5->3
  • 중위 순회(inorder) : (left -> root -> right) 4->2->5->1->3
  • 후위 순회(postorder) : (left -> right -> root) 4->5->2->3->1

위와 같은 규칙을 가지고 각각의 순회를 하는 기능을 만들면 된다.

풀이

  1. value(root), leftNode, rightNode를 생성자로 가지고 있는 Node 클래스를 만든다.
  2. TreeTraversal 클래스에는 insert, search, preorder, inorder, postorder 메소드가 있다.
  3. 입력한 값들은 TreeTraversal의 insert 기능을 통해 Node에 추가된다.
  • 여기서 하나의 노드는 계속해서 왼쪽과 오른쪽에 자식을 가지고 있어야 하므로 Node 클래스에서 leftNode와 rightNode의 초기값은null로 설정하였다.
  • 입력할 때 data(root), left, right 값이 한 번에 한 줄에 들어와서 한 번에 넣는 것을 구현하려 했지만 null인 프로퍼티를 조회하지 말라는 에러가 났다.
  • 그래서 root, left, right 순으로 차례대로 저장될 수 있도록 했다.
  • 여기서 insert 기능은 처음에 root가 null일 때만 들어가게 했고, root가 null이 아닐 때는 search를 호출하도록 했다.
  1. search 메소드를 통해 재귀적으로 부모 노드 값을 찾아 트리에 값을 추가한다.
  • 여기서 많이 헤맸다.
  • 재귀적으로 한다는 말은 root Node인 A부터 왼쪽과 오른쪽 노드를 계속해서 살펴 보겠다는 말이다.
    (이 부분에서 트리가 더 커졌을 때 시간 복잡도가 커질 것 같다.)
    (그래서 노드의 개수가 26개를 넘지 못한다는 조건이 문제에 주어진 것 같다.)
  • 아무튼 그래서 처음부터 훑으며 부모 노드를 찾는다. 자기 노드의 직전 노드만 찾을 수 없는 이유는 자식 노드가 2개이기 때문에 바로 직전의 노드는 현재 노드의 부모 노드가 아닐 가능성이 있다.
A B C
B D .
C E F
  • 위는 예제 테스트 케이스 중 일부인데, 2번 노드는 바로 직전 노드에 B가 있어 부모 노드를 찾을 수 있지만, 3번 노드는 1번 노드에 부모가 있다.
  1. 각각의 순회 순서로 재귀적으로 순회를 돈다.
  • 값들은 result 생성자에 쌓인다.
  • 순회를 다 돌면 console.log로 값을 출력한다.
  • result를 다시 빈 문자열로 만들어 준다. (이렇게 안 하면 모든 순회 값이 쌓이게 된다.)
  • class 안의 값을 바꾸는 게 좋아 보이지는 않아서 리팩토링을 해 봐야겠다.

참고

  • Tree Traversals
  • [JAVA]트리 순회

성공 코드

const readline = require("readline");

const run = () => {
  let count = [];
  const treeTraversal = new TreeTraversal();

  const r = readline.createInterface({
    input: process.stdin,
    output: process.stdout
  });

  r.on("line", line => {
    const splitLine = line.split(" ");
    count.push(splitLine);
    const [data, left, right] = splitLine;
    if (splitLine.length === 3) {
      treeTraversal.insert(data, left, right);
    }

    if (count.length === Number(count[0]) + 1) {
      treeTraversal.preorder();
      console.log(treeTraversal.result);
      treeTraversal.result = "";

      treeTraversal.inorder();
      console.log(treeTraversal.result);
      treeTraversal.result = "";

      treeTraversal.postorder();
      console.log(treeTraversal.result);
      treeTraversal.result = "";

      r.close();
    }
  });

  r.on("close", () => {
    process.exit();
  });
};

class Node {
  constructor(value) {
    this.value = value;
    this.leftNode = null;
    this.rightNode = null;
  }
}

class TreeTraversal {
  constructor() {
    this.root = null;
    this.result = "";
  }

  insert(data, left, right) {
    if (this.root === null) {
      if (data !== ".") this.root = new Node(data);
      if (left !== ".") this.root.leftNode = new Node(left);
      if (right !== ".") this.root.rightNode = new Node(right);
    } else {
      this.search(this.root, data, left, right);
    }
  }

  search(root, data, left, right) {
    if (root === null) {
      return;
    } else if (root.value === data) {
      if (left !== ".") root.leftNode = new Node(left);
      if (right !== ".") root.rightNode = new Node(right);
    } else {
      this.search(root.leftNode, data, left, right);
      this.search(root.rightNode, data, left, right);
    }
  }

  preorder(root = this.root) {
    this.result += root.value;
    if (root.leftNode !== null) this.preorder(root.leftNode);
    if (root.rightNode !== null) this.preorder(root.rightNode);
  }

  inorder(root = this.root) {
    if (root.leftNode !== null) this.inorder(root.leftNode);
    this.result += root.value;
    if (root.rightNode !== null) this.inorder(root.rightNode);
  }

  postorder(root = this.root) {
    if (root.leftNode !== null) this.postorder(root.leftNode);
    if (root.rightNode !== null) this.postorder(root.rightNode);
    this.result += root.value;
  }
}

run();
반응형
저작자표시 (새창열림)
    'Problem Solved/BOJ' 카테고리의 다른 글
    • [BOJ][Java] 11653번 - 소인수분해
    • [BOJ][Java] 1037번 - 약수
    • [BOJ][Java] 5086번 - 배수와 약수
    • [BOJ][Java] 1541번 - 잃어버린 괄호
    개발후라이
    개발후라이
    어제보다 오늘 발전하기 위한 공간 https://github.com/choisohyun

    티스토리툴바